深色模式
图形数列
而图形题相较于分数数列、递推数列、多级数列等常见纯数字数列来说,在没有掌握一些常见技巧的前提下确实无从下手。目前在江苏、浙江、广东、吉林等有可能考查到这一考点,还有部分事业单位的考试。
一、题型特征
题干出现图形,常见的有圆圈题、三角形题、以及3×3或4×4方格形。圆圈题和方格形是图形题中最常考的题目。
圆圈
圆圈题分为两种,一种是的题目,另一种是的题目。
(一)有圆心
有圆心的题目难度相对简单一些,其大致样式如下图:
解题技巧:
举个栗子:
分析:本题为圆圈题中带圆心的题目,首先考虑对角线的数字能否通过运算得到圆心的数字,第一个圆圈中发现15-8=7,21÷3=7,用此规律验证第二个圆圈:10-6=4,24÷6=4,规律正确。则最后一个圆圈问号处的数字为16-2=42÷3=14,故本题第4个中间值为14。
(二)无圆心
无圆心的题目考查几率较大,其中2018年浙江省省考考查了4个此类题目。
解题技巧:
举个栗子:
分析:在分析无圆心的圆圈题时,首先考虑对角线的两个数做差,其次是做和或相乘,如果有明显的倍数关系可考虑做商。本题首先考虑对角线的数做差,4-2=2,3-1=2,做差后相等。验证第二个圆圈,5-9=-4,4-(-1)=5,做差后不相等,规律出现错误。观察第一个圆圈发现,4是2的两倍,4÷2=2,3-1=2,一个做商一个做差,然后相等。以此验证圆圈二,4÷-1=-4,5-9=-4,满足此规律,验证圆圈三,10÷-5=-2,6-8=-2,满足规律,则括号内的数应该为2,故本题答案为2。
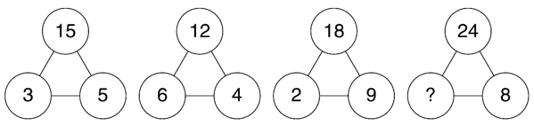
三角形
三角形题目的样式一般如下图所示:
解题技巧:
举个栗子:
分析:中间的数字明显大于周围的三个数字,优先考虑加法或者乘法。外围三个数直接相加并不能得到中间的数,因此考虑加法与乘法相结合。发现(2+3)×5=25,(4+8)×6=72,(3+7)×9=90,则问号处的数字为102÷(8+9)=6,故本题答案为6。
方格形
一般考察3×3,3×4,4×4。九宫格考查的几率较大,此类题目看似难度较大,实则在掌握常见解题方向和技巧后难度并不大。
解题技巧:
- (1)分行或列成等差或等比数列;
- (2)各行或列单独计算为常数
- (3)各行或列内部凑数字之间相等关系(+-×÷),比如每行数列中其中两项通过一定的预算得到第三项;
举个栗子:
分析:分行或分列看,数字之间没有明显的等差或等比,排除分行或分列成等比数列。接下来考虑分行或分列数字加和,发现每行数字之和为5,问号处应填入-5,故本题答案为-5。
三、总结
- 以上是常见的图形数列,但在考试中可能会出现其他创新图形,比如六边形、奇怪的形状。因此根据常见的图形数列总结3个解题思路:
- (1)
- (2)
- (3)
四、随笔练习
- 例1:(2019浙江)

- A.10 B.12
- C.14 D.16
:题目特征明显,为,观察其他数字与中心数字的关系,因为第二项、第三项中心数字均比周围数字大,故可以此为突破口找规律,考虑加法、乘法等可以使数字变大的方法。
第一个数阵中 5×2-5=5
第二个数阵中 3×3-3=6
第三个数阵中 2×7-4=10
即。则第四个数阵中,4×6-?=10,解得?=14。
- 例2:(2014深圳)仔细观察数列的排列规律,然后从四个选项中选出最符合规律的一项来填补空缺项。

- A.2 B.8
- C.9 D.10
:题目特征明显,,观察其他数字与中心数字的关系。第一项中心数与已知项的其他中心数相比最小,为5,从最小的入手,找到规律之后用其余项来验证此规律是否成立。
观察第一项,可得4×3-(5+2)=5,即第一项规律为。用第二项验证:6×4一(2+4)=18,此规律成立。故题干所求项应为3×6-(2+7)=9。
故正确答案为C。
- 例3:(2017广州)观察表中数字的变化规律,依次填入空格X、Y中的数字是:
- A.5,81 B.5,121
- C.7,81 D.7,121
:题目特征明显,为。凑大数,先观察图形,大数在每一列的最后一个且均为平方数,再找每一列其余数字与大数之间的关系即可求解本题。
第一、二、四列的大数分别为36、49、225,依次为6、7、15的平方。观察每一列,发现第一列和第四列的第三行数恰好为6、15,且前两行数字之和等于第三行数字:4+2=6、6+5= 11、8+7=15,故每一列规律为:第一行+第二行=第三行、(第一行+第二行)×第三行=第四行,则X=3+4=7,Y=(6+5)×11=121。故正确答案为D。
- 例4:(2020上海)如图,问号处的数字为:

- A.1 B.8
- C.19 D.31
:观察数列特征,没中心凑大数。第一个数阵中最大的数是右上角的19、第二个数阵中最大的数是左上角的23、第三个数阵中最大的数是左下角的27,。
先考虑加法,第一个数阵:1+19+10+4=34,第二个数阵:23+13+6+2=44,第三个数阵:16+8+3+27=54,构成数列:34、44、54,此数列是公差为10的等差数列,则其下一项为54+10=64。即第四个数阵:10+4+ ?+19-64,则?=31。
- 例5:(2022上海37%)根据下列图形上的数字规律,“?”处的数字应为______。

- A.64 B.88
- C.96 D.104
:图形数列,有中心优先凑中心:
第一个图形:(2+4+6)×(1+3+5)=108;
第二个图形:(5+6+4)×(1+2+3)=90。
规律为在每个正六边形中,与中心数字相连的三个数之和×其他三个数之和=中心数字。
根据以上规律,第三个图形中,?=(1+2+5)×(3+4+6)=104。故正确答案为D。
- 例6:(2018浙江)把最合适的一项填入?中,使其符合一定的规律:

- A.-4 B.-2
- C.0 D.2
:图形数阵,考虑对角线方向的数字联系。
第一个数阵中,3-1=4÷2;
第二个数阵中,5-9=4÷(-1);
第三个数阵中,6-8=10÷(-5)
故第四个数阵中,3-2=?÷2,?=2。故正确答案为D。
- 例7:(2020广东)把最合适的一项填入?中,使其符合一定的规律:

- A.16 B.27
- C.38 D.49
:图形数阵,优先考虑横向和竖向规律。各行或列单独计算为常数。
第一行 4+5+7=16;
第二行 8+8+16=32;
第三行 12+9+27=48;
发现各行数字之和组成的数列16,32,48,( ),是公差为16的等差数列,下一项为48+16=64,则所求项=64-16-10=38。故正确答案为C。
- 例8:(2023上海)根据下列数字关系,“?”中的数字不可能是_____。

- A.3 B.6
- C.9 D.12
:观察题干发现,各数阵之间无法形成统一的递推规律,考虑数字特性。分析可得,3与5均为15的约数,6与4均为12的约数,2与9均为18的约数,即在每个数阵中,下面两个数字均为上面数字的约数。按此规律,选项中只有C项9不是24的约数,C项当选。